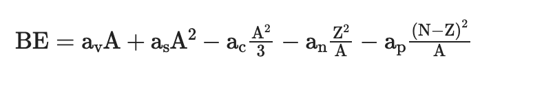
Question: How do I solve this? BE = ayA + asA2 - ac 3 A2 Z2 (N-Z) 2 - an A - ap Aa 3.3 (:[13
How do I solve this?


![(:[13 points] consider the equation from question 1 56Fe + a >52](https://s3.amazonaws.com/si.experts.images/answers/2024/07/668a6153e10ac_915668a6153c713d.jpg)
BE = ayA + asA2 - ac 3 A2 Z2 (N-Z) 2 - an A - ap Aa 3.3 (:[13 points] consider the equation from question 1 56Fe + a >52 CT+? (6) Use the SEMF, calculate the Q-value of this reaction, how does this compare to the answer you calculated in question 1 1 u = 931.502 MeV/c2 1 eV = 1.602 * 10-19 J C = 2.99792458 * 10 m/s av = 15.5MeV as = 16.8MeV ac = 0.72MeV asym = 23MeV ap = 34.0MeV m(H) = 1.007825u m(n) = 1.008665u m(12C) = 12.0000u 12 C abundence = 98.93% 13 C Vabundence = 1.07% Mass Excess (MeV) n 8.0713181 1 H 7.28897106 2 H 13.135722895 HE 14.94981090 4 He 2.42491587 12 C 0 13 C 3.12500933 160 -4.7370022 170 -0.8087642 52 Cr -55.41951 56 Fe -60.6072 87 Rb -84.597802 88 Sr -87.921629 89 Y -87.7112 90 -86.4969 90 71 -88.77255 91 Nb -86.638 92 Mo -86.80859 93 Nb -87.2128 204 Pb -25.1098 205 Pb -23.7702 206 Pb -23.7855 207 Pb -22.4520 208Pb -21.7485
Step by Step Solution
There are 3 Steps involved in it
Get step-by-step solutions from verified subject matter experts
