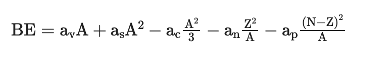
Question: How to solve this problem? Question BE = ayA + asA2 - ac 3 A2 Z2 (N-Z) 2 - an A - ap Af3.2 b[12
How to solve this problem?
Question


![points] Using the SEMF calculate the neutron and proton separation energy of](https://s3.amazonaws.com/si.experts.images/answers/2024/07/668a5e12ef74a_082668a5e12b41e8.jpg)
BE = ayA + asA2 - ac 3 A2 Z2 (N-Z) 2 - an A - ap A\f3.2 b[12 points] Using the SEMF calculate the neutron and proton separation energy of 65Cu, explain the difference using the the SEMF (use the neutron and proton mess excess from the appendix)
Step by Step Solution
There are 3 Steps involved in it
Get step-by-step solutions from verified subject matter experts
