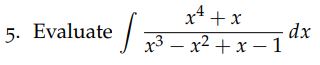
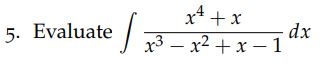
Question: How do I solve this problem using Integration of Rational Functions by Partial Fractions? r+ + x 5. Evaluate 3 dx x2+ x-1

How do I solve this problem using Integration of Rational Functions by Partial Fractions?

r+ + x 5. Evaluate 3 dx x2+ x-1
Step by Step Solution
There are 3 Steps involved in it
Get step-by-step solutions from verified subject matter experts
