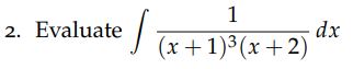
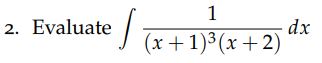
Question: How do I solve this problem using Integration of Rational Functions by Partial Fractions? 2. Evaluate dx x + 1)3(x +2)

How do I solve this problem using Integration of Rational Functions by Partial Fractions?

2. Evaluate dx x + 1)3(x +2)
Step by Step Solution
There are 3 Steps involved in it
Get step-by-step solutions from verified subject matter experts
