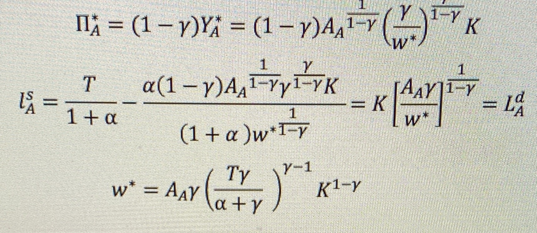
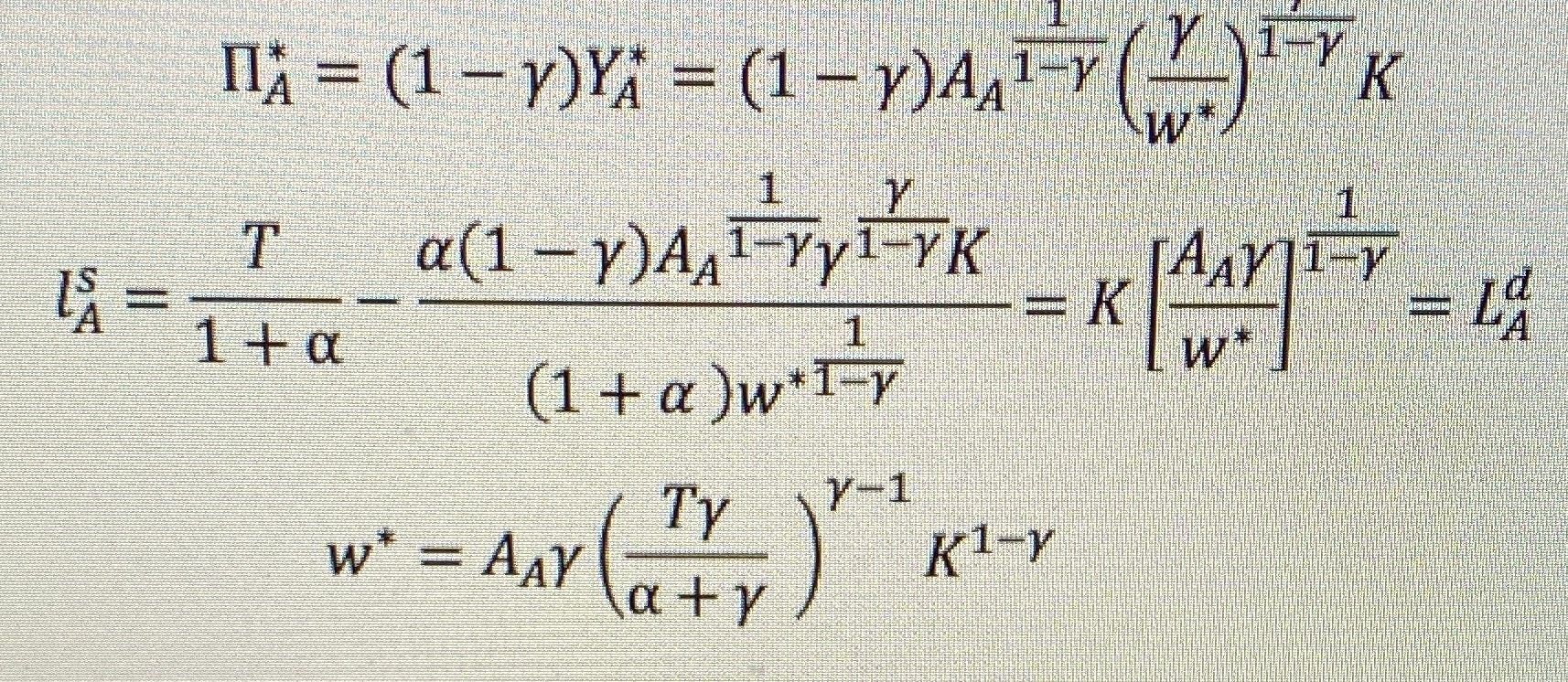
Question: How do we get from ls=Ld to w n* = (1-y)YA = (1-y)Al-r K W 1 T a(1 - Y)AAl Yy1-YK AAY K LA 1

How do we get from ls=Ld to w

n* = (1-y)YA = (1-y)Al-r K W 1 T a(1 - Y)AAl Yy1-YK AAY K LA 1 + a W (1 + a )w*T-y Ty Y-1 W* = AAY K1-Y at y
Step by Step Solution
There are 3 Steps involved in it
Get step-by-step solutions from verified subject matter experts
