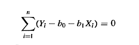
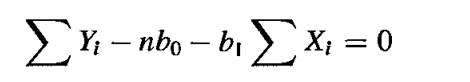
Question: How do you go from here [(x: - 60 - bix;) = 0 i=IY; - nbo - bi X; = 0
How do you go from here


[(x: - 60 - bix;) = 0 i=IY; - nbo - bi X; = 0
Step by Step Solution
There are 3 Steps involved in it
1 Expert Approved Answer
Step: 1 Unlock
Question Has Been Solved by an Expert!
Get step-by-step solutions from verified subject matter experts
Step: 2 Unlock
Step: 3 Unlock
