Question: how to answer this question 2. Given h(x)= x -9 , x*3 2 ,*=3 Determine whether the function of h(x) is continuous at x =

how to answer this question

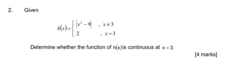
2. Given h(x)= x -9 , x*3 2 ,*=3 Determine whether the function of h(x) is continuous at x = 3. [4 marks]
Step by Step Solution
There are 3 Steps involved in it
Get step-by-step solutions from verified subject matter experts
