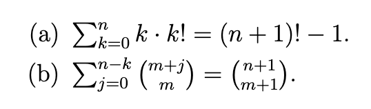
Question: How to compute these two functions n a k=0 k . k! = (n+ 1)! - 1. An-k (b) Zi=o n+1 m m+1
How to compute these two functions

n a k=0 k . k! = (n+ 1)! - 1. An-k (b) Zi=o n+1 m m+1
Step by Step Solution
There are 3 Steps involved in it
Get step-by-step solutions from verified subject matter experts
