Question: How to solve all ( a ) Consider the curve defined by the equation x l n ( y + 1 ) + y x
How to solve all
a Consider the curve defined by the equation
Use implicit differentiation to find at all points on the curve.
b Consider the function with Find the critical points of Deduce the locations of the absolute maxima and minima of and give the values of at these points.
c Use Newton's Method to find a solution of giving your answers accurate to decimal places. Take as your initial guess.
d Sketch the graphs of and on the same diagram, showing their points of intersection with each other and with the coordinate axes. Find the area enclosed between these two graphs.
e Evaluate
f Evaluate
g Solve the initialvalue problem
with
Express your answer in the form
a Use implicit differentiation and a trigonometric identity to prove that
b A boat leaves a dock at am and travels due west at a speed of Another boat has been heading due north at a speed of and reaches the same dock at pm At what time were the two boats closest together?
a Evaluate
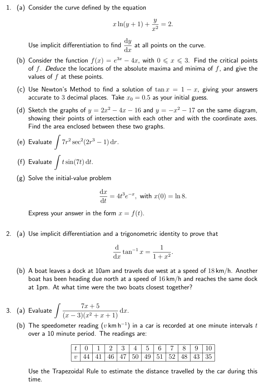
b The speedometer reading in a car is recorded at one minute intervals over a minute period. The readings are:
table
Use the Trapezoidal Rule to estimate the distance travelled by the car during this time.
Step by Step Solution
There are 3 Steps involved in it
1 Expert Approved Answer
Step: 1 Unlock
Question Has Been Solved by an Expert!
Get step-by-step solutions from verified subject matter experts
Step: 2 Unlock
Step: 3 Unlock
