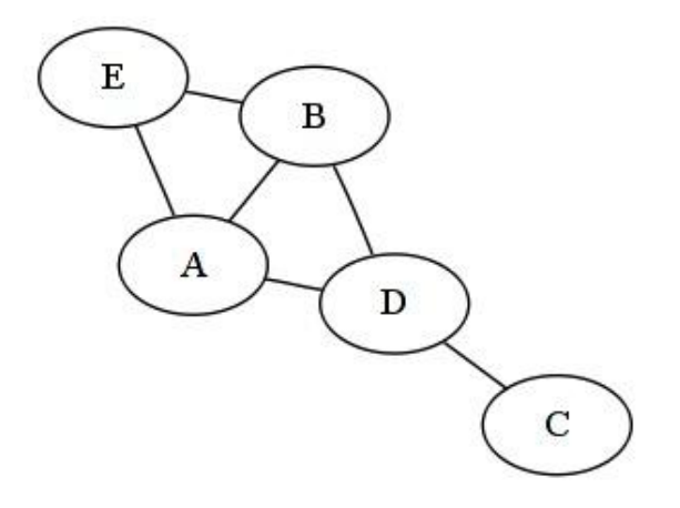
Question: How to use networkx (python) codes to calculate the edge betweenness of B-D and C-D? E B A D
How to use networkx (python) codes to calculate the edge betweenness of B-D and C-D?

E B A D
Step by Step Solution
There are 3 Steps involved in it
1 Expert Approved Answer
Step: 1 Unlock
Question Has Been Solved by an Expert!
Get step-by-step solutions from verified subject matter experts
Step: 2 Unlock
Step: 3 Unlock
