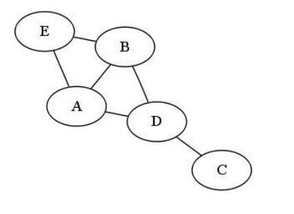
Question: How to use networkx (python) codes to calculate the edge betweenness of B-D and C-D? need codes , thank you! E B A D @
How to use networkx (python) codes to calculate the edge betweenness of B-D and C-D? need codes, thank you!

E B A D @
Step by Step Solution
There are 3 Steps involved in it
Get step-by-step solutions from verified subject matter experts
