Question: Human resource CIPD L5 PLEASE HELP ME WITH THIS kindly write the number of the question when answer and references By way of exemplifying the

Human resource CIPD L5

PLEASE HELP ME WITH THIS

kindly write the number of the question when answer and references

By way of exemplifying the importance of decision-making strategies...

By way of exemplifying the importance of decision-making strategies and how these can be used by people practitioners to solve people practice issues, your manager wants you to illustrate to the audience how the people professional department interprets different types of data to inform sound decision making. Completion of these two activities will address the following:

  • With reference to a people practice issue, interpret analytical data using appropriate analysis tools and methods. (AC 2.1)
  • Present the findings for stakeholders from people practice activities and initiatives. (AC 2.2)
  • Make justified recommendations based on evaluation of the benefits, risks and financial implications of potential solutions. (AC 2.3)

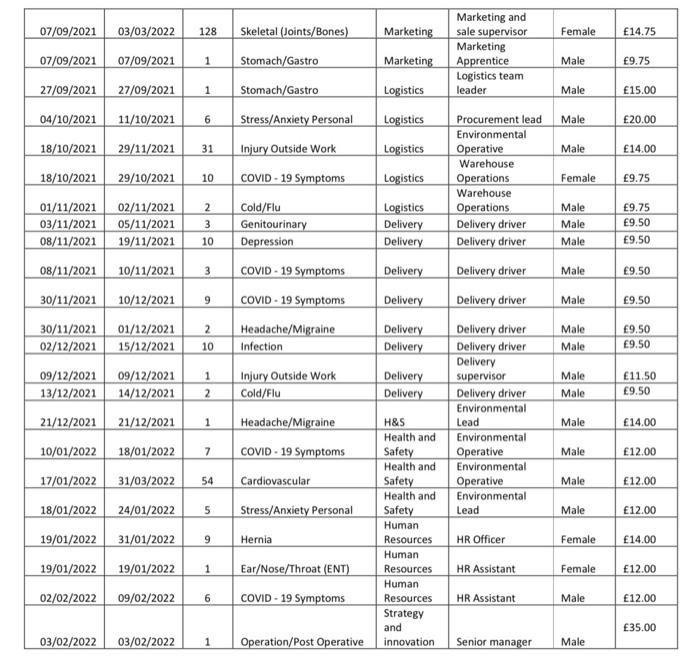
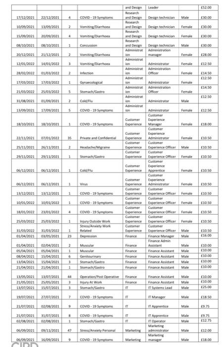
Presented below are two sets of data. Firstly, review the absence data that is presented in Table 1 and provide analysis of it to show:

  1. trends across departments
  2. absence by type
  3. absence by gender
  4. total days lost through absence
  5. annual total costs through absence based on a 37-hour working week.

Present your finding using appropriate diagrammatical forms and make justifiable recommendations based on your evaluations.

Human resource CIPD L5 PLEASE HELP ME WITH THIS kindly write thenumber of the question when answer and references By way of exemplifyingthe importance of decision-making strategies... By way of exemplifying the importance of

Table 1 - Absence data

Step by Step Solution

There are 3 Steps involved in it

1 Expert Approved Answer
Step: 1 Unlock blur-text-image
Question Has Been Solved by an Expert!

Get step-by-step solutions from verified subject matter experts

Step: 2 Unlock
Step: 3 Unlock

Students Have Also Explored These Related General Management Questions!