Question: Human resource CIPD L5 PLEASE HELP ME WITH THIS kindly write the number of the question when answer and references By way of exemplifying the
Human resource CIPD L5
PLEASE HELP ME WITH THIS
kindly write the number of the question when answer and references
By way of exemplifying the importance of decision-making strategies...
By way of exemplifying the importance of decision-making strategies and how these can be used by people practitioners to solve people practice issues, your manager wants you to illustrate to the audience how the people professional department interprets different types of data to inform sound decision making. Completion of these two activities will address the following:
- With reference to a people practice issue, interpret analytical data using appropriate analysis tools and methods. (AC 2.1)
- Present the findings for stakeholders from people practice activities and initiatives. (AC 2.2)
- Make justified recommendations based on evaluation of the benefits, risks and financial implications of potential solutions. (AC 2.3)
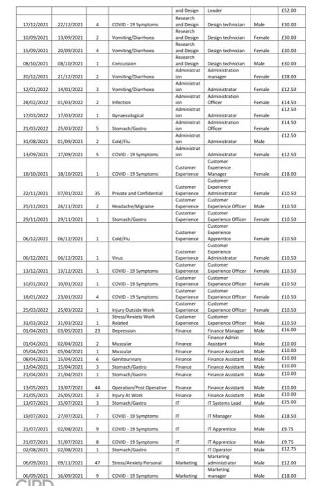
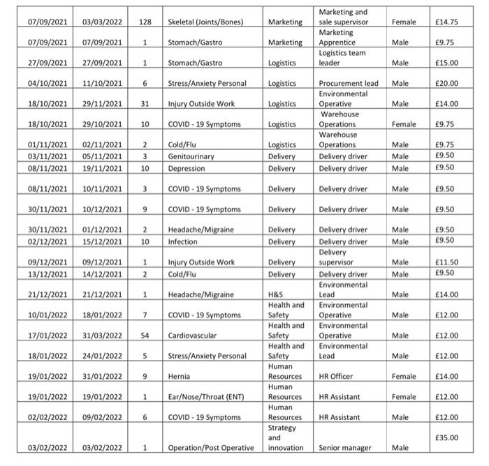
Presented below are two sets of data. Firstly, review the absence data that is presented in Table 1 and provide analysis of it to show:
- trends across departments
- absence by type
- absence by gender
- total days lost through absence
- annual total costs through absence based on a 37-hour working week.
Present your finding using appropriate diagrammatical forms and make justifiable recommendations based on your evaluations.



Table 1 - Absence data
Step by Step Solution
There are 3 Steps involved in it
Get step-by-step solutions from verified subject matter experts
