Question: I am going to make Two Phase Immersion Cooling Applied to Electric Vehicle Battery Modules. And I am going to make 4/25 scale prototype heatsink.
I am going to make Two Phase Immersion Cooling Applied to Electric Vehicle Battery Modules.
And I am going to make 4/25 scale prototype heatsink.
I want to find similitude between real one and prototype one



I just did third steps. And I am not sure if I am right or not. I have to do 7 steps. I am going to post 7steps for example. Could you find 7 steps applied to my project like this example




Thank you
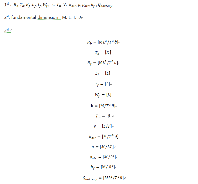
Airflow w Duct Average air temperature, L Tar. Fin base temperature, Heat sink base temperature, The Heat source dissipating QW (a) 1st: Ry, Tv, RF, Lf, tp, Wf, k, T., V, kair, I, Pair, hf, Qbattery 2st: fundamental dimension : M, L, T, OH 3st R] = [MLP/Ta)- Tb = [K] Rp = [MLP /T2 a] + Lg = [L]. tf = [L]- W; = [L] + k = [M/T3a] + To = [a]- V = [L/T]- kair = [M/T3 a- u = [M/LT]- Pair = [M/L3] Hg = [M/23) Qbattery = [ML? /T22]- (example) Drag on a Sphere p, u V D Fo Fo = f(p, V, D, u) 1 st : F), P, V D U (N=5) 2nd : fundamental dimension: M, L, T 3rd : [F)]=ML/T? []=M/L [V]=LIT [D]=L [1]=M/(LT) Dimensional Matrix P D 4 1 1 0 0 1 L 1 -3 1 1 -1 T -2 0 -1 0-1 4th: the order of the dimensional matrix, repeating variables (r) 1 1 0 -30 1 -3 1 11-01 -2 -11+02 0 0 -11 =(1) (3)-(1)(-1+2)+0 = 3-1=2 #0 :: r=3 , repeating variables p, V, D 5th: (N-r) = 5-3=2, Two nondimensional parameters FM u* ML [,]+[pv*d@]=( (2) { = Ma+lL-3a+b+c+17-6-2 T2 All the exponents should be zero to ensure the parameters nondimensional ! a+1=0, -3a+b+c = 0, -b-2=0 a=-1, b=-2, C=-2 .:11, = p 'y-DF, = F PV?D [1.]=[p*VD=(7) FLY M LT =Md+l(-3d+e+f-17-e-1 d+1=0, -3d+e+f-1=0, -e-1=0 d=-1, e=-1, c=-1 :: II, = p 'V 'Dur PVD Confirm that the parameters are all nondimensional. 6th: Two Nondimensional parameters 7th: Find the relation between the nondimensional parameters Since 11. = g(112) F pvD :f PVD or F pVPD - PVD u F PVD u Finally, in a widely used form ( love -D2 4 dynamic pressure cross-sectional area Airflow w Duct Average air temperature, L Tar. Fin base temperature, Heat sink base temperature, The Heat source dissipating QW (a) 1st: Ry, Tv, RF, Lf, tp, Wf, k, T., V, kair, I, Pair, hf, Qbattery 2st: fundamental dimension : M, L, T, OH 3st R] = [MLP/Ta)- Tb = [K] Rp = [MLP /T2 a] + Lg = [L]. tf = [L]- W; = [L] + k = [M/T3a] + To = [a]- V = [L/T]- kair = [M/T3 a- u = [M/LT]- Pair = [M/L3] Hg = [M/23) Qbattery = [ML? /T22]- (example) Drag on a Sphere p, u V D Fo Fo = f(p, V, D, u) 1 st : F), P, V D U (N=5) 2nd : fundamental dimension: M, L, T 3rd : [F)]=ML/T? []=M/L [V]=LIT [D]=L [1]=M/(LT) Dimensional Matrix P D 4 1 1 0 0 1 L 1 -3 1 1 -1 T -2 0 -1 0-1 4th: the order of the dimensional matrix, repeating variables (r) 1 1 0 -30 1 -3 1 11-01 -2 -11+02 0 0 -11 =(1) (3)-(1)(-1+2)+0 = 3-1=2 #0 :: r=3 , repeating variables p, V, D 5th: (N-r) = 5-3=2, Two nondimensional parameters FM u* ML [,]+[pv*d@]=( (2) { = Ma+lL-3a+b+c+17-6-2 T2 All the exponents should be zero to ensure the parameters nondimensional ! a+1=0, -3a+b+c = 0, -b-2=0 a=-1, b=-2, C=-2 .:11, = p 'y-DF, = F PV?D [1.]=[p*VD=(7) FLY M LT =Md+l(-3d+e+f-17-e-1 d+1=0, -3d+e+f-1=0, -e-1=0 d=-1, e=-1, c=-1 :: II, = p 'V 'Dur PVD Confirm that the parameters are all nondimensional. 6th: Two Nondimensional parameters 7th: Find the relation between the nondimensional parameters Since 11. = g(112) F pvD :f PVD or F pVPD - PVD u F PVD u Finally, in a widely used form ( love -D2 4 dynamic pressure cross-sectional area
Step by Step Solution
There are 3 Steps involved in it
Get step-by-step solutions from verified subject matter experts
