Question: I am trying to workout this problem (See attached picture) but the hint is confusing me more than helping. I'm not sure how to progress.
I am trying to workout this problem (See attached picture) but the hint is confusing me more than helping. I'm not sure how to progress.

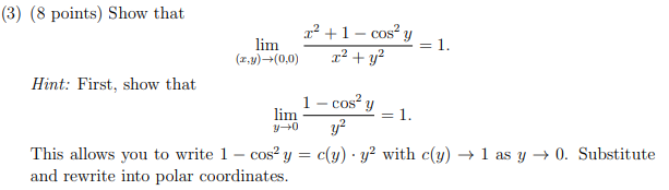
(3) (8 points) Show that r- +1 - cost y lim = 1. (z.1/) - (0.0) I2+ yz Hint: First, show that 1 - cost y lim = 1. This allows you to write 1 - cosy = c(y) . y' with c(y) - 1 as y - 0. Substitute and rewrite into polar coordinates
Step by Step Solution
There are 3 Steps involved in it
1 Expert Approved Answer
Step: 1 Unlock
Question Has Been Solved by an Expert!
Get step-by-step solutions from verified subject matter experts
Step: 2 Unlock
Step: 3 Unlock
