Question: I do not understand how they are getting the answers to this question. 11. Let sin 0 = -- L with 0 in QIII. Without


I do not understand how they are getting the answers to this question.


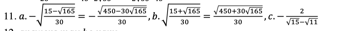
11. Let sin 0 = -- L with 0 in QIII. Without using a calculator, find V15 a. COS 2 b. sin 2 c. tan
Step by Step Solution
There are 3 Steps involved in it
Get step-by-step solutions from verified subject matter experts
