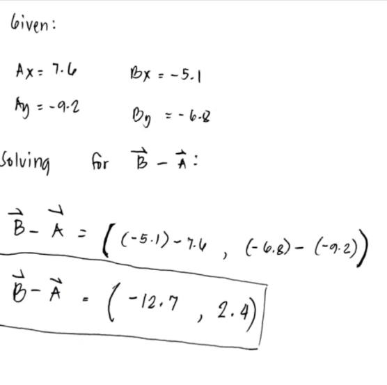
Question: I got this question wrong, hand.wr/ite what I did wrong and the correct answ/er _> X 5. The components of vectors A and B are
I got this question wrong, hand.wr/ite what I did wrong and the correct answ/er


_> X 5. The components of vectors A and B are given as follows: Ax = 7.6 Bx = -5.1 Ay = -9.2 By = -6.8 > > What is the magnitude of the vector difference B A ? Given : Ax = 7. 4 By = - 5.1 An = - 9.2 By = - 6-2 Solving for B - A : B - A = / (- 5.1) - 7.4 , (- 6.8)- (-9-2) ) B -A - - 12. 7 , 2.4)
Step by Step Solution
There are 3 Steps involved in it
Get step-by-step solutions from verified subject matter experts
