Question: I have a question about the cumulative distribution function. The correct answer is 104/225, but I got a different answer. Could you show me how
I have a question about the cumulative distribution function. The correct answer is 104/225, but I got a different answer.
Could you show me how I get the correct answer?
Thanks,



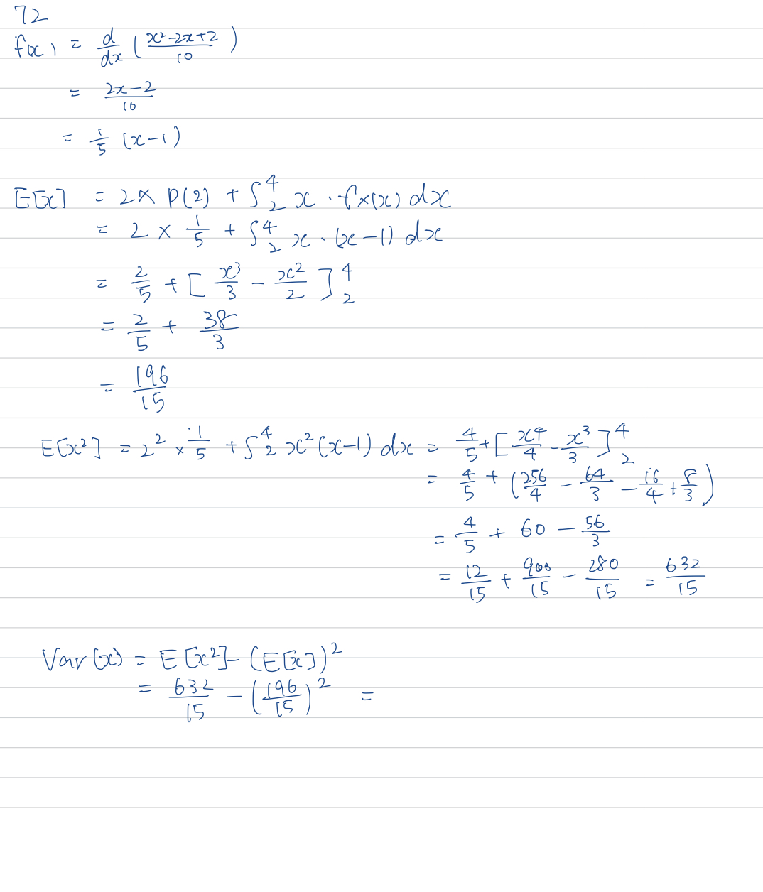
\f(15) A random variable X has the cumulative distribution function. F(x) = x2 - 2x + 2 1 2 Calculate the variance of X. F(1) = 1/2, so we have a mixed distribution here, However, F(2-) = F(2) = 1. The density function between 1 and 2 is f(x) =x-1 When calculating th moments, we must add 1/2(1*) = 1/2 to fix* f(x)dx to account for the point mass at 1. The moments of X are E[X] = 1/2 + x(x - 1)dx 2 Var(X) = E[X?] - E[X]? = 23 16 5 12 9 36
Step by Step Solution
There are 3 Steps involved in it
Get step-by-step solutions from verified subject matter experts
