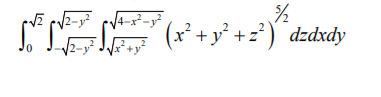
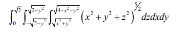
Question: I just need help converting this to spherical coordinates (x2+y2+:2) d:dxdy

I just need help converting this to spherical coordinates

(x2+y2+:2) d:dxdy
Step by Step Solution
There are 3 Steps involved in it
Get step-by-step solutions from verified subject matter experts
