Question: I just need help on (d) to use the microscope equation for h to find h(1.06) .Thank you. Suppose that f(x) and g(x) are differentiable
I just need help on (d) to use the microscope equation for h to find h(1.06) .Thank you.

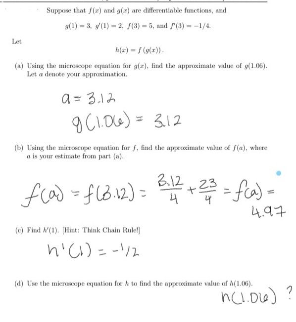
Suppose that f(x) and g(x) are differentiable functions, and g(1) = 3, g'(1) = 2, f(3) = 5, and f'(3) = -1/4. Let h(x) = f (g(z)). (a) Using the microscope equation for g(x), find the approximate value of g(1.06). Let a denote your approximation. a = 3.12 8 (1.0 6 ) = 3.12 (b) Using the microscope equation for f, find the approximate value of f(a), where a is your estimate from part (a). flow = f ( 3. 12 ) = 3. 12 + 23 4 4 = fla ) = 4.97 (c) Find h'(1). [Hint: Think Chain Rule!] n' ( 1 ) = - 1/2 (d) Use the microscope equation for h to find the approximate value of h(1.06)
Step by Step Solution
There are 3 Steps involved in it
Get step-by-step solutions from verified subject matter experts
