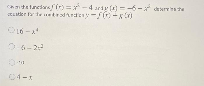
Question: i just need the answer please - Given the functions f (x) = x2 - 4 and g(x) = -6 - x2 determine the equation
- Given the functions f (x) = x2 - 4 and g(x) = -6 - x2 determine the equation for the combined function y = f (x) +8(x) O 16 x4 3-6 - 2x -10 O4 - x
Step by Step Solution
There are 3 Steps involved in it
Get step-by-step solutions from verified subject matter experts
