Question: I NEED A CHASE PLAN AND LEVEL - UTILIZATION. DO NOT COPY AND PASTE A DIFFERENT ANSWER THAT USES DIFFERENT FORECAST DATA. USE MY FORECAST
I NEED A CHASE PLAN AND LEVELUTILIZATION. DO NOT COPY AND PASTE A DIFFERENT ANSWER THAT USES DIFFERENT FORECAST DATA. USE MY FORECAST DATA I PROVIDED!!! Assignment Data:
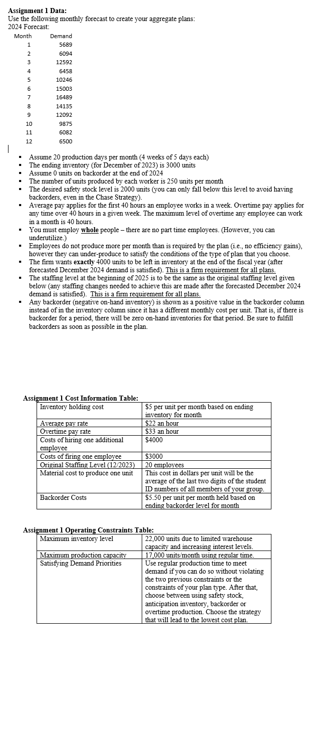
Use the following monthly forecast to create your aggregate plans
Step by Step Solution
There are 3 Steps involved in it
1 Expert Approved Answer
Step: 1 Unlock
Question Has Been Solved by an Expert!
Get step-by-step solutions from verified subject matter experts
Step: 2 Unlock
Step: 3 Unlock
