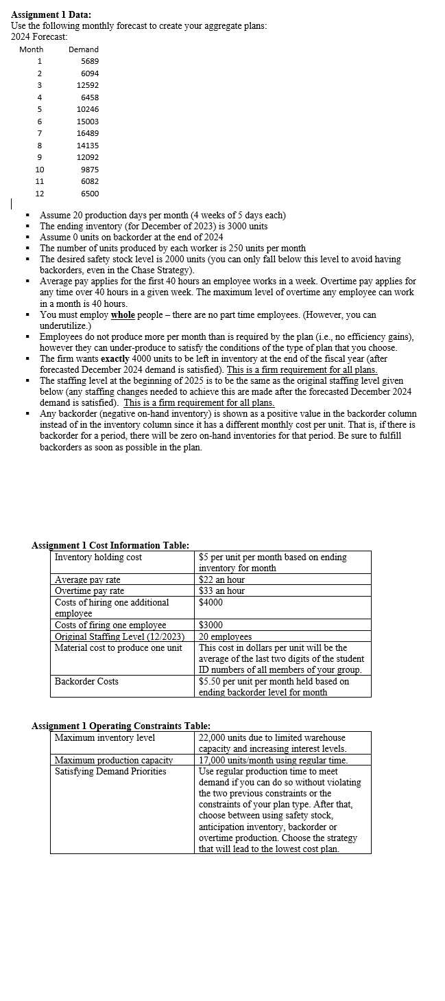
Question: I NEED A CHASE PLAN AND LEVEL - UTILIZATION. DO NOT COPY AND PASTE A DIFFERENT ANSWER THAT USES DIFFERENT FORECAST DATA. USE MY FORECAST

I NEED A CHASE PLAN AND LEVEL-UTILIZATION. DO NOT COPY AND PASTE A DIFFERENT ANSWER THAT USES DIFFERENT FORECAST DATA. USE MY FORECAST DATA I PROVIDED!!! Assignment 1 Data:
Use the following monthly forecast to create your aggregate plans
 I NEED A CHASE PLAN AND LEVEL-UTILIZATION. DO NOT COPY AND

Step by Step Solution

There are 3 Steps involved in it

1 Expert Approved Answer
Step: 1 Unlock blur-text-image
Question Has Been Solved by an Expert!

Get step-by-step solutions from verified subject matter experts

Step: 2 Unlock
Step: 3 Unlock

Students Have Also Explored These Related General Management Questions!