Question: I need answer urgently for this question. Please help me. Please show the step one by one. You can use hand-written with clear step. I
I need answer urgently for this question. Please help me.
Please show the step one by one.
You can use hand-written with clear step.
I will give the best rate for you. Thank you.

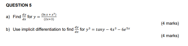
QUESTION 5 a) Find - for y = (Inx+ x]) (2x+3) (4 marks) b) Use implicit differentiation to find - for y3 = tany - 4x3 - 625x dx (4 marks)
Step by Step Solution
There are 3 Steps involved in it
Get step-by-step solutions from verified subject matter experts
