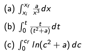
Question: I need help integrating these. Please show step by step. Thank YOU Xf a a dx Xi t b dt (t2 + a (c) [of
I need help integrating these. Please show step by step. Thank YOU

Xf a a dx Xi t b dt (t2 + a (c) [of In(c2 + a) do
Step by Step Solution
There are 3 Steps involved in it
Get step-by-step solutions from verified subject matter experts
