Question: I need help to answer A / B / C / D , I hope the solution is computer-based, not handwritten, as I cannot read
I need help to answer A / B / C / D , I hope the solution is computer-based, not handwritten, as I cannot read handwriting well

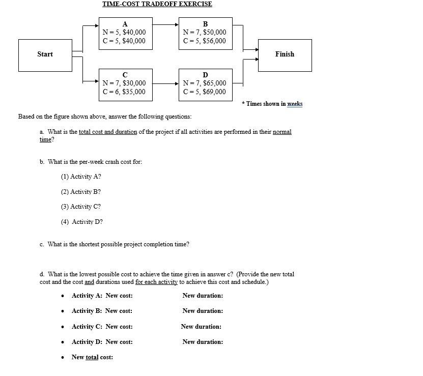
TIME-COST TRADEOFF EXERCISE B N=5, $40,000 C = 5, $40,000 N=7, $50,000 C = 5, $56,000 Start Finish C D N=7, $30,000 N=7, $65,000 C = 6, $35,000 C=5, $69,000 * Times shown in weeks Based on the figure shown above, answer the following questions: a. What is the total cost and duration of the project if all activities are performed in their normal time? b. What is the per-week crash cost for: (1) Activity A? (2) Activity B? (3) Activity C? (4) Activity D? c. What is the shortest possible project completion time? d. What is the lowest possible cost to achieve the time given in answer c? (Provide the new total cost and the cost and durations used for each activity to achieve this cost and schedule.) Activity A: New cost: New duration: Activity B: New cost: New duration: . Activity C: New cost: New duration: Activity D: New cost: New duration: . New total cost