Question: I need help with a process engineering course homework problem :) any help is greatly appreciated ! 9) If we consider the mixing tank model
I need help with a process engineering course homework problem :) any help is greatly appreciated !
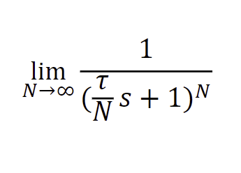
9) If we consider the mixing tank model for a nonreacting species, the overall transfer function for the PFR is given by the equation below, find and evaluate the limit:

(Can simplify PFR as an infinite number of CSTR in series)
1 lim N700 N N s + 1)N
Step by Step Solution
There are 3 Steps involved in it
Get step-by-step solutions from verified subject matter experts
