Question: I need help with document questions. Please Explain. DEMAND INTERPRETAT ON EXERCISE Analyze the demand function for Toyotas in problem C4, page 82. Please also
I need help with document questions. Please Explain.

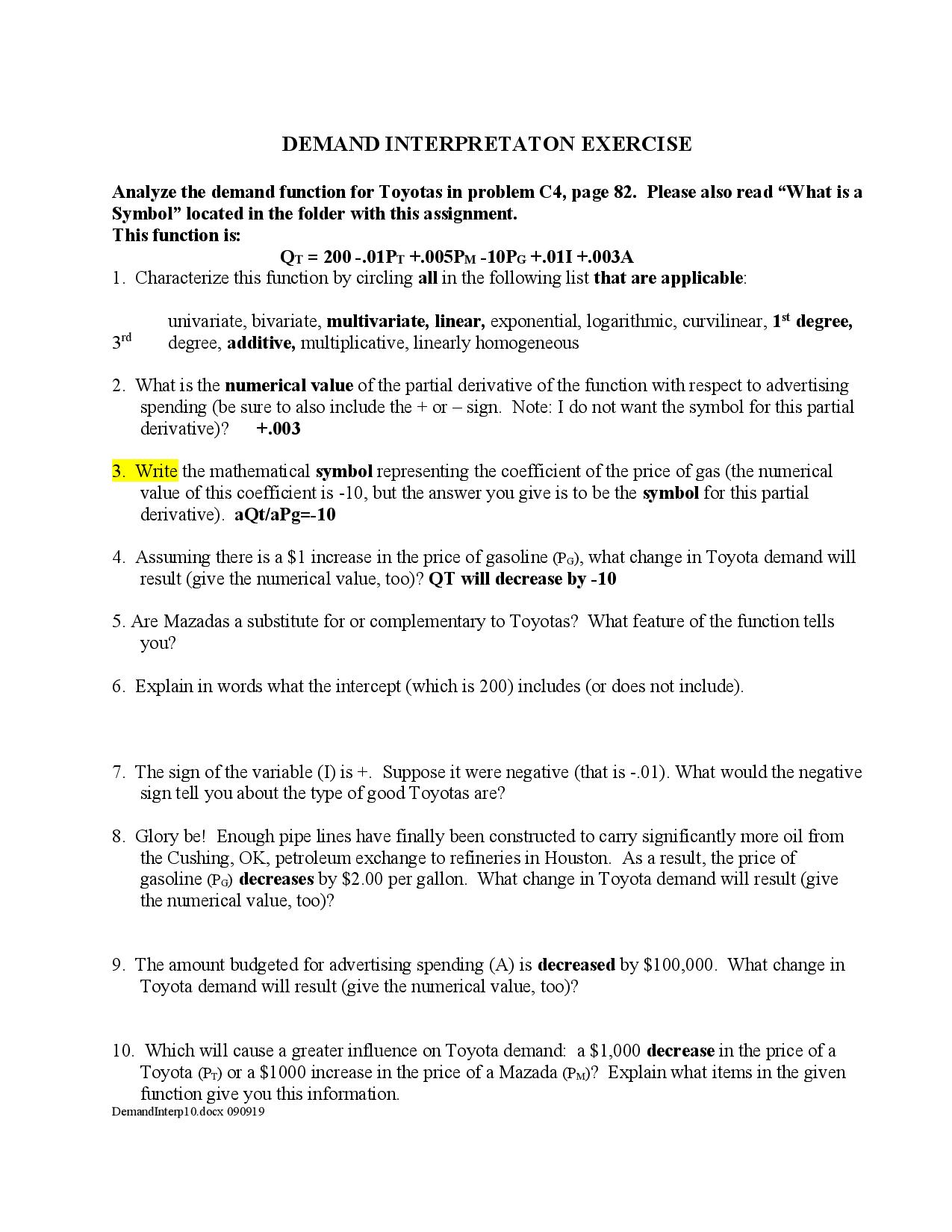
DEMAND INTERPRETAT ON EXERCISE Analyze the demand function for Toyotas in problem C4, page 82. Please also read \"What is a Symbol\" located in the folder with this assignment. This function is: QT = 200 .01Pr +.005PM -10PG +.011 +.003A 1. Characterize this function by circling all in the following list that are applicable: univariate, bivariate, multivariate, linear, exponential, logarithmic, curvilinear, 1\"i degree, 3rd degree, additive, multiplicative, linearly homogeneous 2. What is the numerical value of the partial derivative of the function with respect to advertising spending (be sure to also include the + or sign. Note: I do not want the symbol for this partial derivative)? +.003 3. Write the mathematical symbol representing the coefcient of the price of gas (the numerical value of this coefcient is -10, but the answer you give is to be the symbol for this partial derivative). aQtfan=10 4. Assuming there is a $1 increase in the price of gasoline (PG), what change in Toyota demand will result (give the numerical value, too)? QT will decrease by -10 5. Are Mazadas a substitute for or complementary to Toyotas? What feature of the function tells you? 6. Explain in words what the intercept (which is 200) includes (or does not include). 7. The sign ofthe variable (I) is +. Suppose it were negative (that is -.01). What would the negative sign tell you about the type of good Toyotas are? 8. Glory be! Enough pipe lines have nally been constructed to carry signicantly more oil from the Cushing, OK, petroleum exchange to reneries in Houston. As a result, the price of gasoline (PG) decreases by $2.00 per gallon. What change in Toyota demand will result (give the numerical value, too)? 9. The amount budgeted for advertising spending (A) is decreased by $100,000. What change in Toyota demand will result (give the numerical value, too)? 10. Which Will cause a greater inuence on Toyota demand: a $1,000 decrease in the price of a Toyota (PT) or a $1000 increase in the price of a Mazada (PM)? Explain what items in the given function give you this information. DemmdlnterplOchx 090919
Step by Step Solution
There are 3 Steps involved in it
Get step-by-step solutions from verified subject matter experts
