Question: I need help with question 3. I already know question 1 and 2. The monthly payment P on a mortgage loan of 4 dollars at




I need help with question 3.
I already know question 1 and 2.




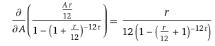
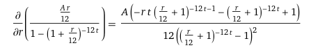
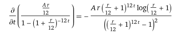
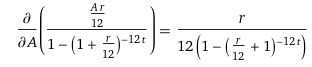
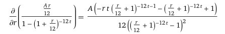
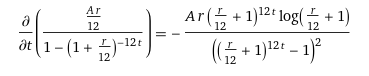
The monthly payment P on a mortgage loan of 4 dollars at an annual rate of 7 (as a decimal) for * years is given by this function of three variables: P(A,r, t) = A 12 -12r 1- | 1+ 12 In the following problems, a consumer has been quoted for a mortgage on a 26-year loan of $270,000 at an annual rate of 4.10%. Round any dollar amounts to the nearest cent. Provide all answers in the spaces provided, but attach all work on your own paper. 1. Determine the monthly payment. aP ap ap 2. Determine the partial derivatives aA' ar ' at using a computer algebra system. Attach screenshots of each of these partial derivatives! 3. Use differentials to approximate the change in monthly payment (from #1) if: a. the loan amount decreases to $265000 b. the rate decreases to 3.90% c. the number of years decreases to 24. Do each part separately.
Step by Step Solution
There are 3 Steps involved in it
Get step-by-step solutions from verified subject matter experts
