Question: I need help with this. Can you write me a Python code in Jupyter Notebook, to graph a wave equation, subject to the given conditions.
I need help with this.
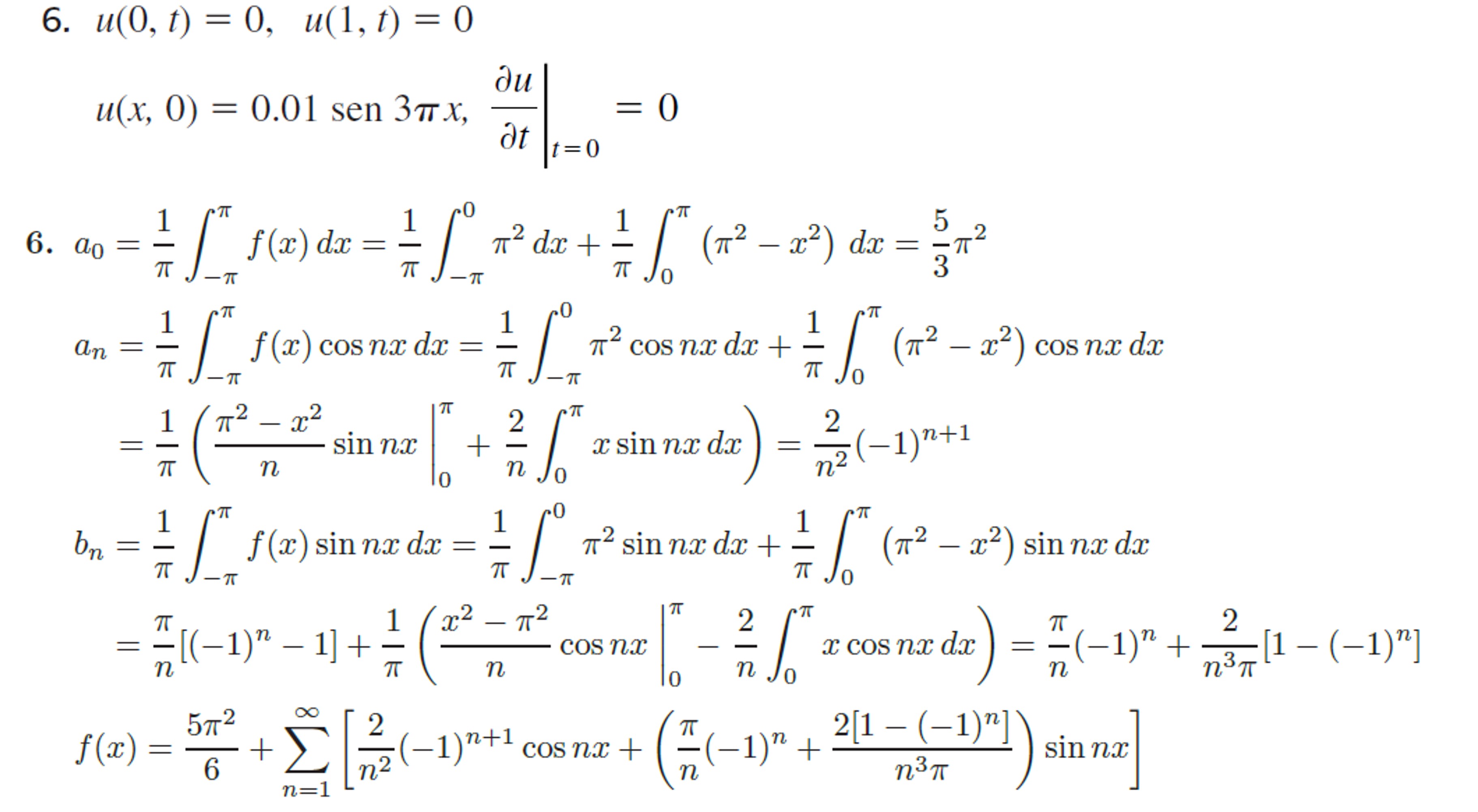
Can you write me a Python code in Jupyter Notebook, to graph a wave equation, subject to the given conditions. Here is the example and its solution.
Please make the code understandable and reproducible.
Step by Step Solution
There are 3 Steps involved in it
1 Expert Approved Answer
Step: 1 Unlock
Question Has Been Solved by an Expert!
Get step-by-step solutions from verified subject matter experts
Step: 2 Unlock
Step: 3 Unlock
