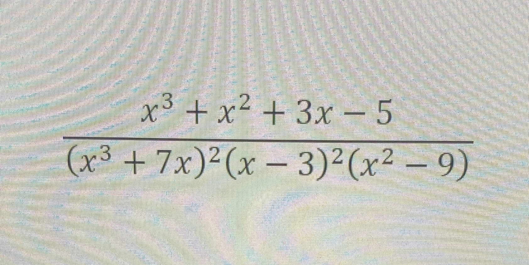
Question: I need help with this partial fraction decomposition. Just the step i don't need to find the coefficients XX -+ 3x- (x3 + 7x)2(x -
I need help with this partial fraction decomposition. Just the step i don't need to find the coefficients

XX -+ 3x- (x3 + 7x)2(x - 3)2(x2 - 9
Step by Step Solution
There are 3 Steps involved in it
Get step-by-step solutions from verified subject matter experts
