Question: I need help with this question, and please show the steps and provide a thorough explanation for the solutions. Thank you. 1. A study by
I need help with this question, and please show the steps and provide a thorough explanation for the solutions. Thank you.

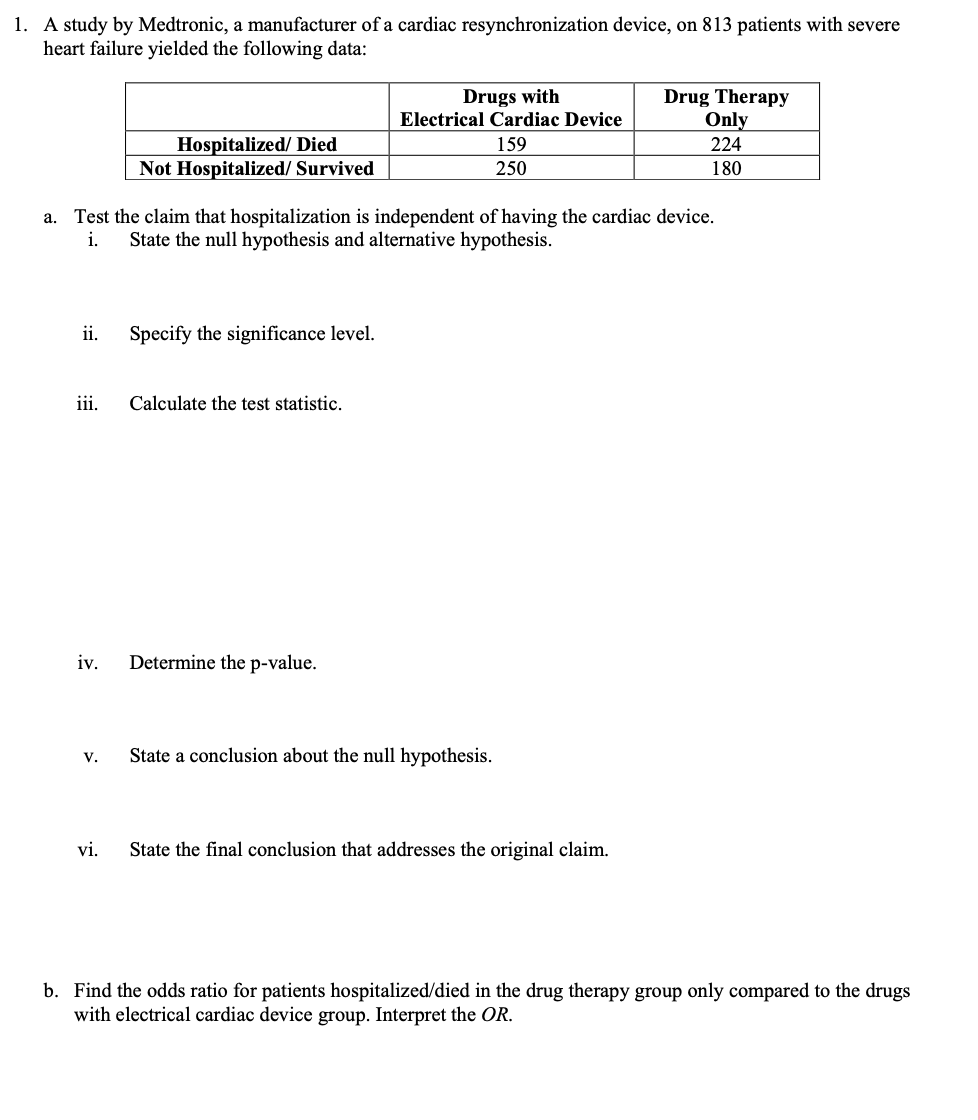
1. A study by Medtronic, a manufacturer of a cardiac resynchronization device, on 813 patients with severe heart failure yielded the following data: Drugs with Drug Therapy Electrical Cardiac Device Only Hospitalized/ Died 159 224 Not Hospitalized/ Survived 250 180 a. Test the claim that hospitalization is independent of having the cardiac device. i. State the null hypothesis and alternative hypothesis. ii. Specify the significance level. iii. Calculate the test statistic. iv. Determine the p-value. V . State a conclusion about the null hypothesis. vi. State the final conclusion that addresses the original claim. b. Find the odds ratio for patients hospitalized/died in the drug therapy group only compared to the drugs with electrical cardiac device group. Interpret the OR
Step by Step Solution
There are 3 Steps involved in it
Get step-by-step solutions from verified subject matter experts
