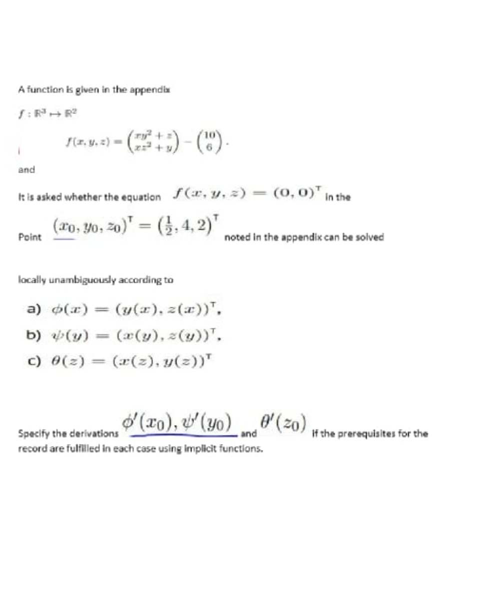
Question: i need solution within minutes A function is given in the appendix S:R R2 and It is asked whether the equation f (:c, 1, 2)
i need solution within minutes

A function is given in the appendix S:R R2 and It is asked whether the equation f (:c, 1, 2) = (0, 0) In the Point (20, yo, 20)' = (3,4,2) noted in the appendix can be solved locally unambiguously according to a) b(x) = (y(x). z(2)). b) 1/ (1) = (x(y), 2(4) ) . c) 0(2) = (x(2). (2)) Specify the derivations o' (TO), ' (yo) A' (20) and If the prerequisites for the record are fulfilled in each case using implicit functions
Step by Step Solution
There are 3 Steps involved in it
Get step-by-step solutions from verified subject matter experts
