Question: please provide solution of this question A function is given in the appendix S : RR2 /(x. y. =) - 2 and It is asked
please provide solution of this question

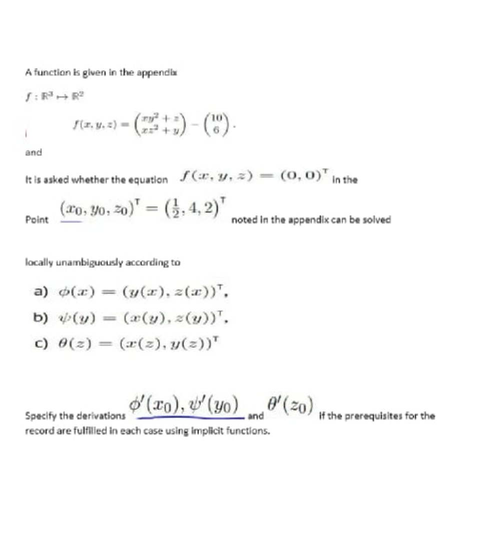
A function is given in the appendix S : RR2 /(x. y. =) - 2 and It is asked whether the equation f (:, 1, 2) = (0, 0) in the Point (20, 30, 20)' = (3,4,2) noted in the appendix can be solved locally unambiguously according to a) (x) = (y(x). z(2) ). b) / (y) = (x(y), 2(4)). c) 0(2) = (x(2). 1(2)) Specify the derivations $' (ro), '(yo) (zo) and If the prerequisites for the record are fulfilled in each case using implicit functions
Step by Step Solution
There are 3 Steps involved in it
Get step-by-step solutions from verified subject matter experts
