Question: I need solve this assignment of Calculus II Workout Problem (60 points) Part a: (20 points) 1. Find the domain of the vector function 2t

I need solve this assignment of Calculus II

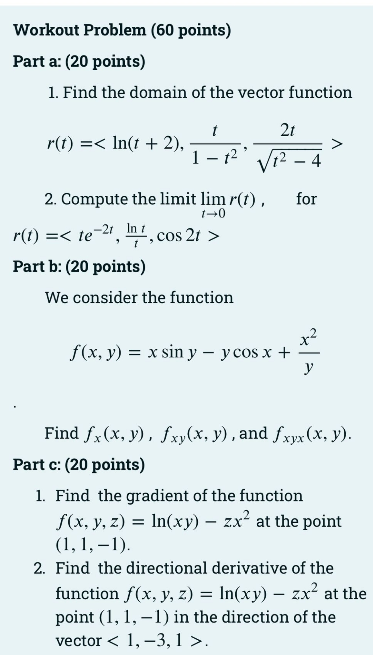
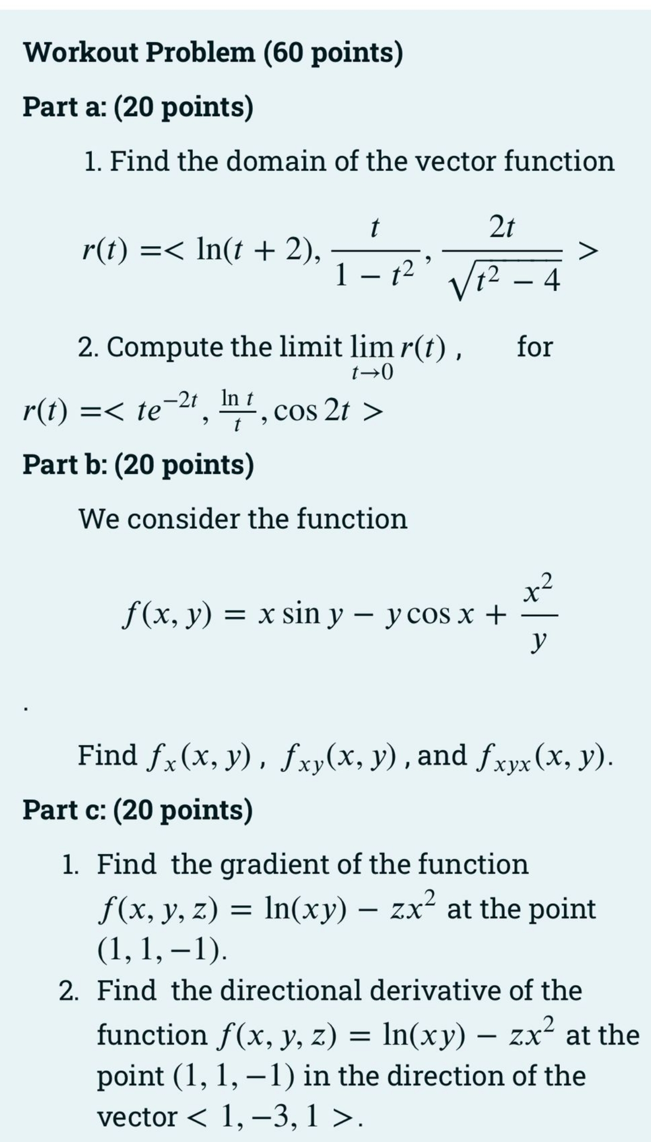
Workout Problem (60 points) Part a: (20 points) 1. Find the domain of the vector function 2t r(t) = 1 - 12 V+2 - 4 2. Compute the limit lim r(t) , for 1- 0 r(t) = Part b: (20 points) We consider the function f(x, y) = x sin y - y cos x + * 2 Find fx(x, y) , fxy(x, y) , and fxyx (x, y). Part c: (20 points) 1. Find the gradient of the function f(x, y, z) = In(xy) - zx at the point (1, 1, -1). 2. Find the directional derivative of the function f(x, y, z) = In(xy) - zx at the point (1, 1, -1) in the direction of the vector
Step by Step Solution
There are 3 Steps involved in it
Get step-by-step solutions from verified subject matter experts
