Question: I need to build Final Circuit using LogiSim Evolution! please! help! Design Up Binary Counter Simulation using Flip Flop T-Type Status Table Using T-Type Present
I need to build Final Circuit using LogiSim Evolution! please! help!
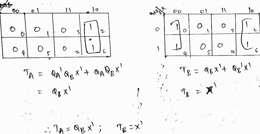
Design Up Binary Counter Simulation using Flip Flop T-Type
Status Table Using T-Type


Present State Input Future state Flip flop use TA TB QA QB x QB 1 0 O 1 0 0 0 0 O O 0 1 0 1 OO o 0 0 1 | O 0 1 0 1 0 O 1 0 1 0 ) 1 1 1 0 1 ) oo lo , 1\ 7. TA= E ) . ' 9" g = ax x's g'! .: = 1A - Spx; g cx
Step by Step Solution
There are 3 Steps involved in it
Get step-by-step solutions from verified subject matter experts
