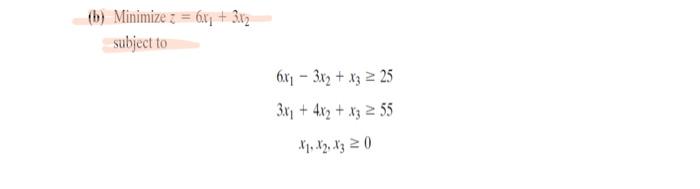
Question: i need to convert this from primal to dual problem. (b) Minimize 3 = 6x1 + 3x2 subject to 6x1 - 3x2 + x3 2
i need to convert this from primal to dual problem.
(b) Minimize 3 = 6x1 + 3x2 subject to 6x1 - 3x2 + x3 2 25 3.47 + 4x2 + x3 2 55 X1, X2, X3 20
Step by Step Solution
There are 3 Steps involved in it
1 Expert Approved Answer
Step: 1 Unlock
Question Has Been Solved by an Expert!
Get step-by-step solutions from verified subject matter experts
Step: 2 Unlock
Step: 3 Unlock
