Question: i need to install visual studio in this assignment >> REAL PROBLEMS, REAL SOLUTIONS REAL PROBLEM 9-1 Cuing Android di Banda For the projet, you


i need to install visual studio in this assignment
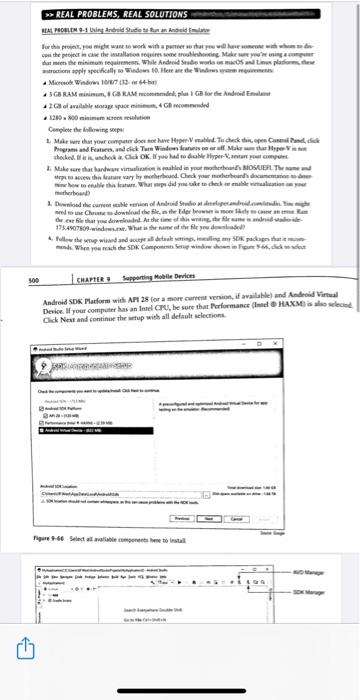
>> REAL PROBLEMS, REAL SOLUTIONS REAL PROBLEM 9-1 Cuing Android di Banda For the projet, you might want to work with a person will have we w who the project in case the requires tresheng Make sure that meets the minimum requirements. While Android die worst platform struction apply specifically windows 10. Here are the Windows Micro Win1007134 JGB RAM minimum, GB RAM plus 1 GB for the Android . Govable Gunded #120000 minimum Complete the following stepe 1. Make sure that your computer dette have per te. Te check this, open Conmiddel Program and Foodie Tuin Windows and Mike Hyper the best is unched OK. We had to disable Hyper pour com 1. Make sure that hardware ished in your webOSUER. The same po schienare vary by wherboard. Check your documentaire to tables arm. What we did we check like you 1. Download the current wenien el Artes med three download the file, the way we dhe et file that you did. At the time of the filer med 173490780). What is the time of the file Follow the map wind and acceptai bei SDK packages that en When you reach the SDK Componenwindow.de 500 CHAPTER uppering Mobile Derdens Android SDK Matform with AR for a secure, available and Android Vine Device. If your computer has an CPU, be sure that Performance HAXMI Gick Next and continue the setup with all default clection 46 Select a mobile comments et al G 4 of 5 - Figure 9-47 Android Studie is designed for developen to build and the 6. Click to lunch the AVD Manage, which show in own in Figure 345 1. To make sure everything is working fascicare anche non esisting with Wir works, you should we need Android phone igre 9-49Alghera we Oro to fully launch you an error message this point, we there is wah line for pembe into your specife ener, which you can see the DO IDOAPOO. 6 . oo a .. Check again to make sure awarenesulted in your motherboards BOSER . Check in e maker Hyper Vindhed in Windo c. If your computer in wings, make sur HAXM in plated and imaliel papel check the dock launhe SDK Manager Woh Android SDK elected in the coche SDK Testul Mole sur Intel cel mate Accelere HAXM Iller) checked and end PODDBOB 2. Tere everything is working of click on how to ring vildi it work, you should we need Android phone belog mig two to fully launch you how the bling i waachie for posible solution to your specifice, which you can see Events DOAPOOO.G OOOOOOO $ Check in to make chanwalt BIOSTEL Cled in to make sure HyperVindinte indien c. your walker HAXM pel properly to check thit, dick to SD Megh Android SDK in the defenda SEKT Make sured Emese (HAXM checked and alled 4. If you're will having problems wit had to change thing during this listing. mited to all HAXM. To do this, de Android Studios File Explorer, de following locatie CatherAppData Local Android die Hardware Accelerated Manager Runde file and headed to protocompleted Restar And Studies, and try is to launch AVD Manager and then touch dr. 4. What regidou bave to perform! What did you are from this proces Close the imal deste to you can create new one with an updated Os. In the ND Magda Creme Ve Dei. Ce the full phone and where Android 8.1 een. You would them in frunte y Ser. Download the select the dead Next. dededeume and then click . You de din pour list of delik in grem Launch now to unched howing 10. May with the show well in a malapen. Try some of the fram dermed in this chap Which family at >> REAL PROBLEMS, REAL SOLUTIONS REAL PROBLEM 9-1 Cuing Android di Banda For the projet, you might want to work with a person will have we w who the project in case the requires tresheng Make sure that meets the minimum requirements. While Android die worst platform struction apply specifically windows 10. Here are the Windows Micro Win1007134 JGB RAM minimum, GB RAM plus 1 GB for the Android . Govable Gunded #120000 minimum Complete the following stepe 1. Make sure that your computer dette have per te. Te check this, open Conmiddel Program and Foodie Tuin Windows and Mike Hyper the best is unched OK. We had to disable Hyper pour com 1. Make sure that hardware ished in your webOSUER. The same po schienare vary by wherboard. Check your documentaire to tables arm. What we did we check like you 1. Download the current wenien el Artes med three download the file, the way we dhe et file that you did. At the time of the filer med 173490780). What is the time of the file Follow the map wind and acceptai bei SDK packages that en When you reach the SDK Componenwindow.de 500 CHAPTER uppering Mobile Derdens Android SDK Matform with AR for a secure, available and Android Vine Device. If your computer has an CPU, be sure that Performance HAXMI Gick Next and continue the setup with all default clection 46 Select a mobile comments et al G 4 of 5 - Figure 9-47 Android Studie is designed for developen to build and the 6. Click to lunch the AVD Manage, which show in own in Figure 345 1. To make sure everything is working fascicare anche non esisting with Wir works, you should we need Android phone igre 9-49Alghera we Oro to fully launch you an error message this point, we there is wah line for pembe into your specife ener, which you can see the DO IDOAPOO. 6 . oo a .. Check again to make sure awarenesulted in your motherboards BOSER . Check in e maker Hyper Vindhed in Windo c. If your computer in wings, make sur HAXM in plated and imaliel papel check the dock launhe SDK Manager Woh Android SDK elected in the coche SDK Testul Mole sur Intel cel mate Accelere HAXM Iller) checked and end PODDBOB 2. Tere everything is working of click on how to ring vildi it work, you should we need Android phone belog mig two to fully launch you how the bling i waachie for posible solution to your specifice, which you can see Events DOAPOOO.G OOOOOOO $ Check in to make chanwalt BIOSTEL Cled in to make sure HyperVindinte indien c. your walker HAXM pel properly to check thit, dick to SD Megh Android SDK in the defenda SEKT Make sured Emese (HAXM checked and alled 4. If you're will having problems wit had to change thing during this listing. mited to all HAXM. To do this, de Android Studios File Explorer, de following locatie CatherAppData Local Android die Hardware Accelerated Manager Runde file and headed to protocompleted Restar And Studies, and try is to launch AVD Manager and then touch dr. 4. What regidou bave to perform! What did you are from this proces Close the imal deste to you can create new one with an updated Os. In the ND Magda Creme Ve Dei. Ce the full phone and where Android 8.1 een. You would them in frunte y Ser. Download the select the dead Next. dededeume and then click . You de din pour list of delik in grem Launch now to unched howing 10. May with the show well in a malapen. Try some of the fram dermed in this chap Which family at Step by Step Solution
There are 3 Steps involved in it
1 Expert Approved Answer
Step: 1 Unlock
Question Has Been Solved by an Expert!
Get step-by-step solutions from verified subject matter experts
Step: 2 Unlock
Step: 3 Unlock
