Question: I need to solve this problem vertically ((if the problem was vertical not horizontal)) 8.1 Fully Developed Laminar Flow in a Circular Conduit of Constant

I need to solve this problem vertically ((if the problem was vertical not horizontal))
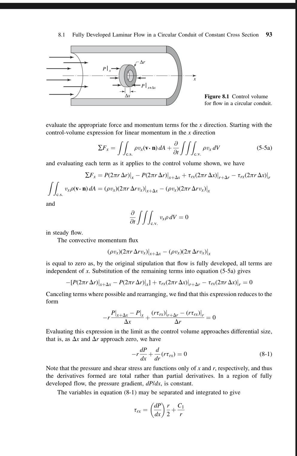
8.1 Fully Developed Laminar Flow in a Circular Conduit of Constant Cross Section 93 Figure 8.1 Control volume for flow in a circular conduit. evaluate the appropriate force and momentum terms for the x direction. Starting with the control-volume expression for linear momentum in the x direction Fx=c.s.vx(vn)dA+tc.v.vxdV and evaluating each term as it applies to the control volume shown, we have Fxc.s.vx(vn)dA=P(2rr)xP(2rr)x+x+rx(2rx)r+rrx(2rx)r=(vx)(2rrvx)x+x(vx)(2rrvx)x and tc,vvxdV=0 in steady flow. The convective momentum flux (vx)(2rrvx)x+x(vx)(2rvx)x is equal to zero as, by the original stipulation that flow is fully developed, all terms are independent of x. Substitution of the remaining terms into equation (5-5a) gives [P(2rr)x+xP(2rr)x]+rx(2rx)r+rrx(2rx)r=0 Canceling terms where possible and rearranging, we find that this expression reduces to the form rxPx+xPx+r(rrx)r+r(rrx)r=0 Evaluating this expression in the limit as the control volume approaches differential size, that is, as x and r approach zero, we have rdxdP+drd(rrx)=0 Note that the pressure and shear stress are functions only of x and r, respectively, and thus the derivatives formed are total rather than partial derivatives. In a region of fully developed flow, the pressure gradient, dP/dx, is constant. The variables in equation (8-1) may be separated and integrated to give rx=(dxdP)2r+rC1
Step by Step Solution
There are 3 Steps involved in it
Get step-by-step solutions from verified subject matter experts
