Question: I need to use the python for this answer. Can anyone please teach me im struggling Given yox + 5x & Y = 4x a)


I need to use the python for this answer. Can anyone please teach me im struggling
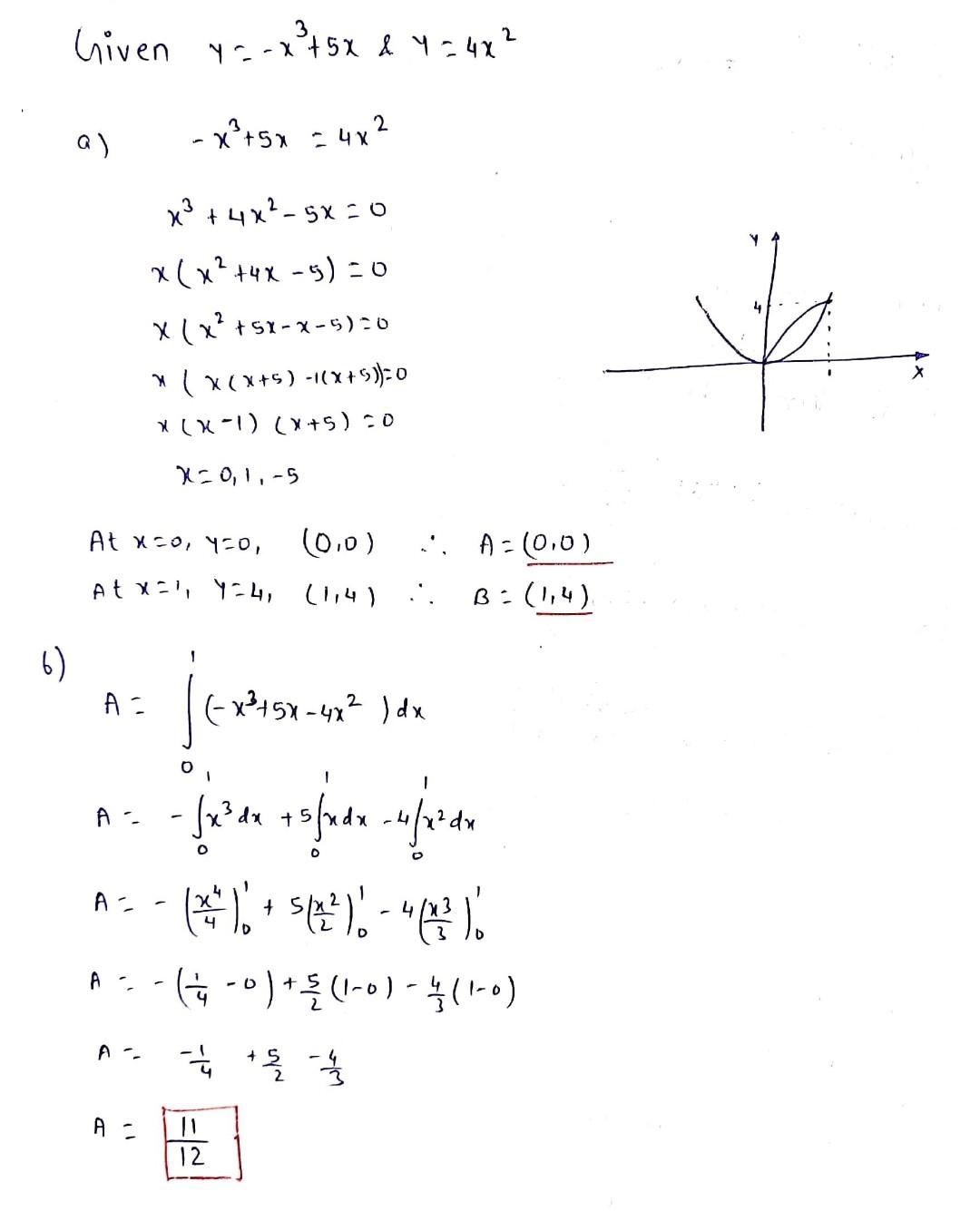
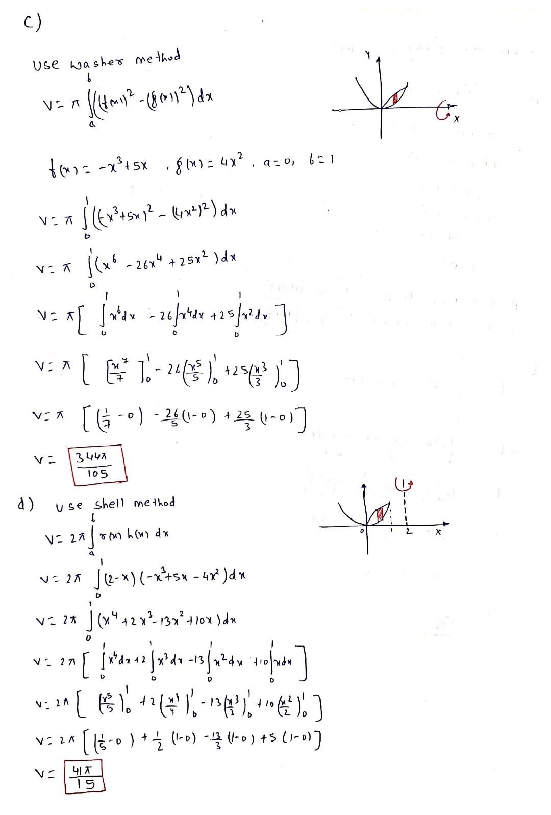
Given yox + 5x & Y = 4x a) - x+5x 4x2 x + 4x_5x=0 x(x+48-5)=0 X X? +51-8-5) 20 * l *(X+5) -1(x+5)=0 X (X-1) (x+5) 20 x=0,1,5 At x 20, 420, (0,0) . A-(0,0) B: (1.4) Atxil, 4-4, (1.4) . 6) A. je (-x + 5x-4x ) dx 0 1 A- O O fx3 dx +5 sudx -4/xhd AS- stan) -40). -:- (-o)+{(1-0)-(1-0) 1 + 2 5 - 11/15 A- 12 c) use washer method 6 Von Ver f(4m) 2 - 48 m2) die Ex 6) a-01 81W - 442 tuna-x + 5x V7 - 26x4 + 25x) dx ) 1 VEK a } [typisuj? ) din jx 20 Javde +25]aldo [ 1.-24(5)+254 ) ) [ G -o) - 24(1-0) + 2(1-0] ( abdx - 26 6 V- VT VO 3447 105 d) use shell method be V=2a1 8(M) h(n) da Yol 1 V=26 J12-x)(-x:+5% -4?)dx 1 V27 0 1 V 271 J (x12 x-132?1104) dx x"da 42 %* dx -13 /*?dx'toolude v1n [ +*. V-1368) romantyo ] -o ) + (1-0) - (1-0) +5(1-0)) O 0 V2A V- 418 15
Step by Step Solution
There are 3 Steps involved in it
Get step-by-step solutions from verified subject matter experts
