Question: I solved this second order DE using the RK-4 method. I need help coding this in MATLAB. Can anyone show me how to do this?
I solved this second order DE using the RK-4 method. I need help coding this in MATLAB. Can anyone show me how to do this? I've posted my work for RK-4, just don;t know how to code this in MATLAB.



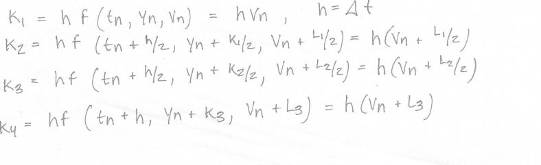
2) Suppose we wish to solve the second-order ODE initial value proble IVP) dt2 y(0) = Q y, (0) = . where p(t), q(t), r(t), , and are known. A common technique is to convert the ODE in (1) to a system of two first-order ODEs and then to use a technique for first-order ODE IVPs (like RK-4) to solve the original second-order ODE IVP (1). We proceed thus. Let v- , thus obtaining dv + p(t)o +g(t)y= r(t). Thus our resulting first-order IVP is dt dy y(0) = (0) =
Step by Step Solution
There are 3 Steps involved in it
Get step-by-step solutions from verified subject matter experts
