Question: I understand everything in this example except the evaluation portion. In the evaluation, the man says that the magnitude of F does not equal 2
I understand everything in this example except the evaluation portion. In the evaluation, the man says that the magnitude of F does not equal 2 times the magnitude of D minus the magnitude of E. That the magnitude of F is 16.9 and that the magnitude of 2D-E is 3.36, which I don't understand. Where is the 3.36 coming from? Please explain and draw diagrams. I am very confused and really want to understand why the magnitude of F does not equal the magnitude of 2D-E. Also want to know how he got the number 3.36 for 2D-E

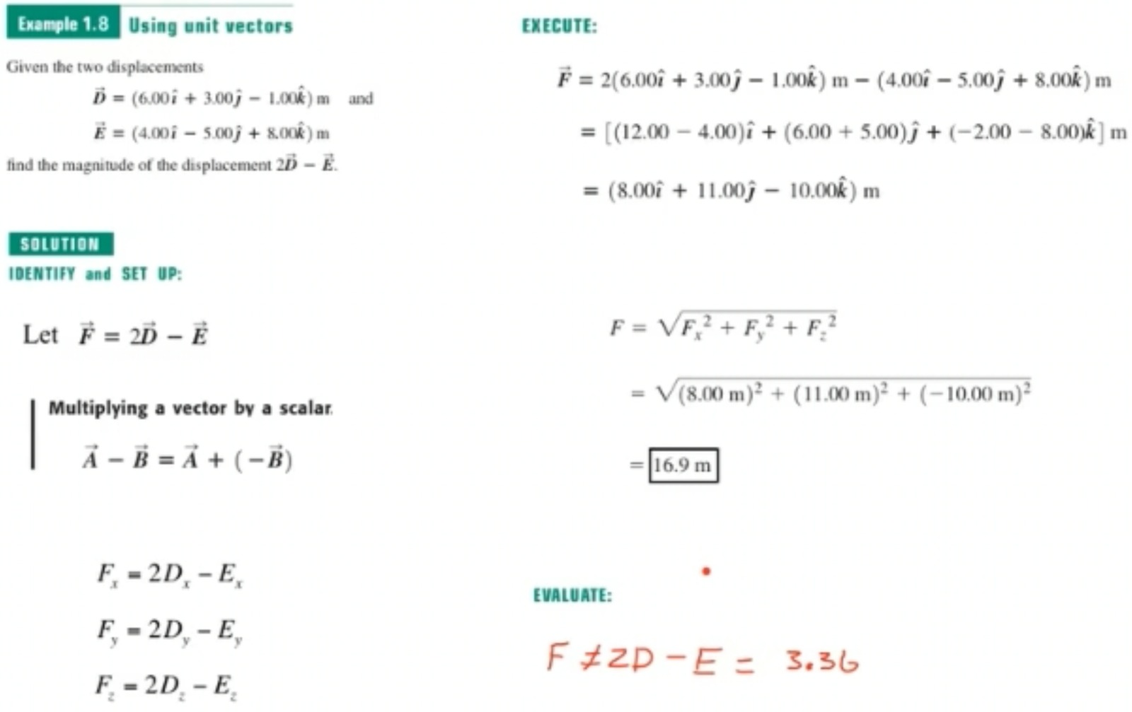
Example 1.8 Using unit vectors EXECUTE: Given the two displacements F = 2(6.007 + 3.00) - 1.00k) m - (4.007 - 5.00) + 8.00k) m D = (6.007 + 3.00) - LOOK) m and E = (4.007 - 5.00) + 8.006) m = [(12.00 - 4.00)7 + (6.00 + 5.00)j + (-2.00 - 8.00)k ] m find the magnitude of the displacement 20 - E. = (8.007 + 11.00j - 10.00k) m SOLUTION IDENTIFY and SET UP: Let F = 2D - E F = VF2+F?+ F. Multiplying a vector by a scalar. = V(8.00 m)2 + (11.00 m)2 + (-10.00 m)2 A - B = A + (-B) 16.9 m F. = 2D, - E. EVALUATE: F - 2D, - E, F # ZD - E = 3.36 F. = 2D, - E
Step by Step Solution
There are 3 Steps involved in it
Get step-by-step solutions from verified subject matter experts
