Question: I was able to solve for cos(+) and sin(+), but I am stuck on tan(+). I'm not sure how to proceed with solving tan(+). Can


I was able to solve for cos(+) and sin(+), but I am stuck on tan(+). I'm not sure how to proceed with solving tan(+). Can you please provide an explanation (similar to what I have in blue text) of step-by-step for solving tan(+)?


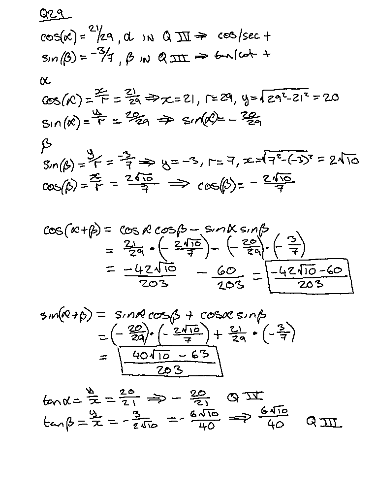
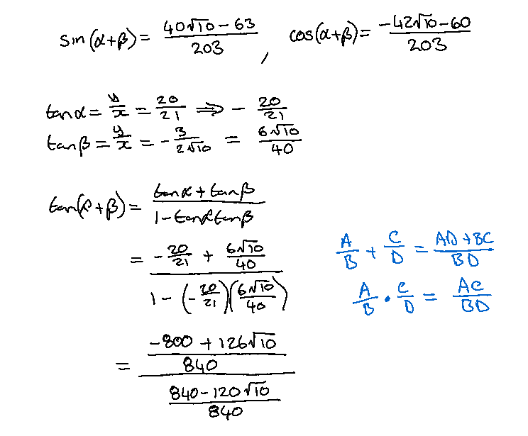
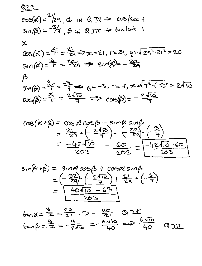
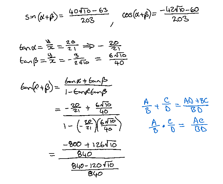
229 cos( x ) = /29, ad IN Q IV = cos/ sect Bin ( B ) = - 79, BIN QIII talcott D Cos (R ) = T = 29 #x = 21 , 1= 29, 4 = 1292-212 = 20 SIn ( *) = = 2%% = sin(@) - 2%% B Sin ( B ) 8= -3, 1=7, 2=/72-(-3)? = 2NT0 cos (3) = = 7 cos( 3 ) = - 21/10 COS (Kit() = COSA cosB - SinksIn/ = - 42410 - 60 -42110-60 203 203 sIn(Rip) = sink cosB + cosa sing 20 7 (- 40#10 - 63 203 tand = 20 Z 20 QT tanb = 3 GNTO = 40 40sm ( a+ 13 ) = 40170-63 cos(atB)= 421 10-60 203 203 band = 20 Z1 tamb = N 40 banff + B ) = bond+ tank 20 A C All +BC 40 BD A Ac B - 800 + 1261 10 840 840- 120+10 840
Step by Step Solution
There are 3 Steps involved in it
Get step-by-step solutions from verified subject matter experts
