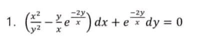
Question: identify the type of solution (most suitable solution) for each prob and solve for general solution. the formulas are: homogenous, exact/inexact, linear, bernoulli, second order
identify the type of solution (most suitable solution) for each prob and solve for general solution. the formulas are: homogenous, exact/inexact, linear, bernoulli, second order reducible to first order

1 . y -2y -2y ex dx te x dy = 0 X
Step by Step Solution
There are 3 Steps involved in it
Get step-by-step solutions from verified subject matter experts
