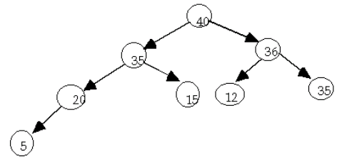
Question: If 40 is removed, what value will replace it after ReheapDown is called? A) 35 B) 36 C) 5 D) It can't be determined ??

If 40 is removed, what value will replace it after ReheapDown is called?
A) 35
B) 36
C) 5
D) It can't be determined
?? 3 35 12
Step by Step Solution
There are 3 Steps involved in it
Get step-by-step solutions from verified subject matter experts
