Question: If a Hershey's Chocolate allows its lower level managers to aid in the decision making process because these managers are more aware of what is

If a Hershey's Chocolate allows its lower level managers to aid in the decision making process because these managers are more aware of what is going on and need to develop their decision making skills, Hershey's Chocolate would use what approach?
a. Line decision making system
b. Centralized decision making system
c. Supremacy decision making system
d. Decentralized decision making system




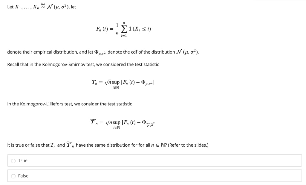
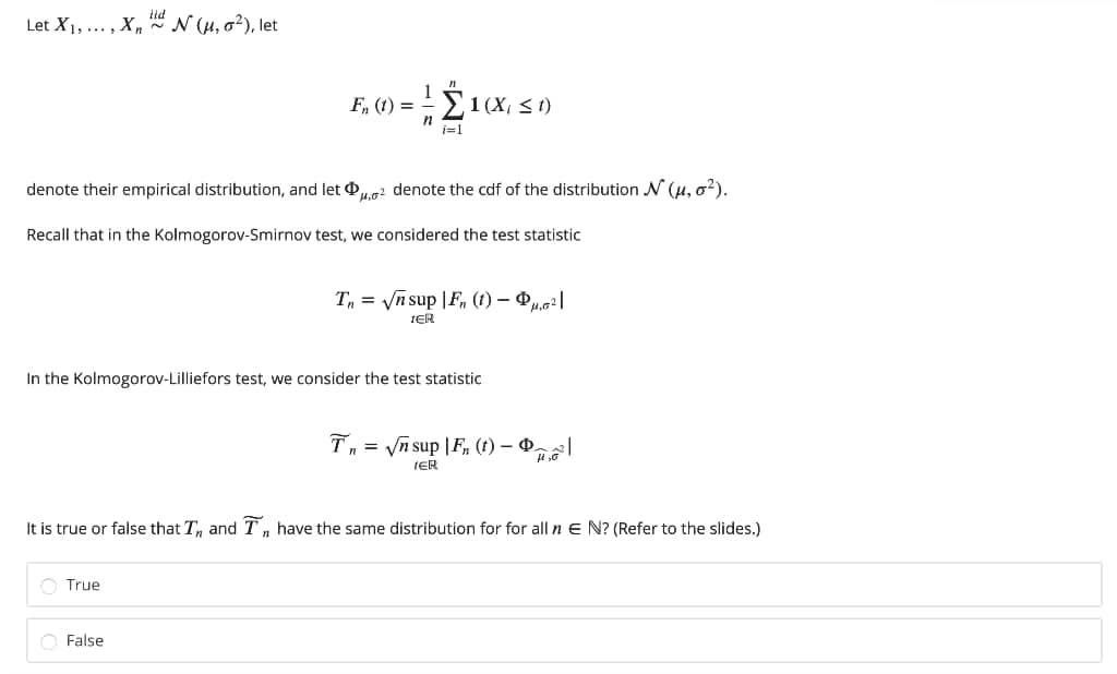
Let X1 , . .. . Xn N (H, 62), let Fn (1) = = n 1=1 denote their empirical distribution, and let @,2 denote the cdf of the distribution N (1, 62). Recall that in the Kolmogorov-Smirnov test, we considered the test statistic T, = Vn sup |F, (1) - @,.621 ER In the Kolmogorov-Lilliefors test, we consider the test statistic Tn = Vnsup |F, (1) - Qua IER It is true or false that T, and T' , have the same distribution for for all n E N? (Refer to the slides.) O True False2. A Markov chain with state space {1, 2, 3} has transition probability matrix 0.0 0.3 0.1 [0\": 0.3 0.3 0.4 0.4 0.1 0.5 (a) Is this Markov chain irreducible? Is the Markov chain recurrent or transient? Explain your answers. (1)) What is the period of state 1? Hence deduce the period of the remaining states. Does this Markov chain have a limiting distribution? (0) Consider a general three-state Markov chain with transition matrix P11 P12 P13 1? = P21 332-2 1023 P31 P32 P33 Give an example of a specic set of probabilities PM for which the Markov chain is not irreducible (there is no single right answer to this, of course !). Let X1 , ... . Xn N (H, 62), let F. (1) = _ EI(x, SD) 1=1 denote their empirical distribution, and let @, 2 denote the cdf of the distribution N (#, o?). Recall that in the Kolmogorov-Smirnov test, we considered the test statistic T, = Vn sup |F, (1) - @,,62| ER In the Kolmogorov-Lilliefors test, we consider the test statistic Tn = Vnsup | Fr (1) - Qual IER It is true or false that T, and T' , have the same distribution for for all n E N? (Refer to the slides.) True FalseFinding a Transition Matrix In Exercises 17-24, find the transition matrix from B to B'. 20. B = {(1, 1), (1, 0)}, B' = {(1, 0), (0, 1)} Finding Transition and Coordinate Matrices In Exercises 37-40, (a) find the transition matrix from B to B', (b) find the transition matrix from B' to B, (c) verify that the two transition matrices are inverses of each other, and (d) find the coordinate matrix [x]g, given the coordinate matrix [x]g- 38. B = {(2, -2), (6, 3)}, B' = {(1, 1), (32, 31)}, 2 [x ]B' =
Step by Step Solution
There are 3 Steps involved in it
Get step-by-step solutions from verified subject matter experts
