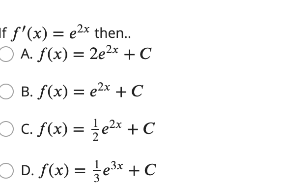
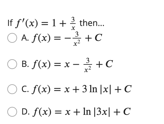
Question: If f(x) = 6x - 10 for x 3 21 where g(x)dx = 2 3 21 then f(x)dx = 0f f' (x) = e2x then..








If f(x) = 6x - 10 for x 3 21 where g(x)dx = 2 3 21 then f(x)dx = 0f f' (x) = e2x then.. A. f(x) = 2e2x + C O B. f(x) = e2x + C O c. f(x) = e2x + C O D. f(x) = e 3x + CIf f' (x) = 1+ 2 then... X O A. f ( x ) = - 3 + C O B. f ( x ) = x - 2+ C O c. f ( x) = x+3In|x|+C O D. f (x) = x + In |3x| + C4 8xdx = 0
Step by Step Solution
There are 3 Steps involved in it
1 Expert Approved Answer
Step: 1 Unlock
Question Has Been Solved by an Expert!
Get step-by-step solutions from verified subject matter experts
Step: 2 Unlock
Step: 3 Unlock
