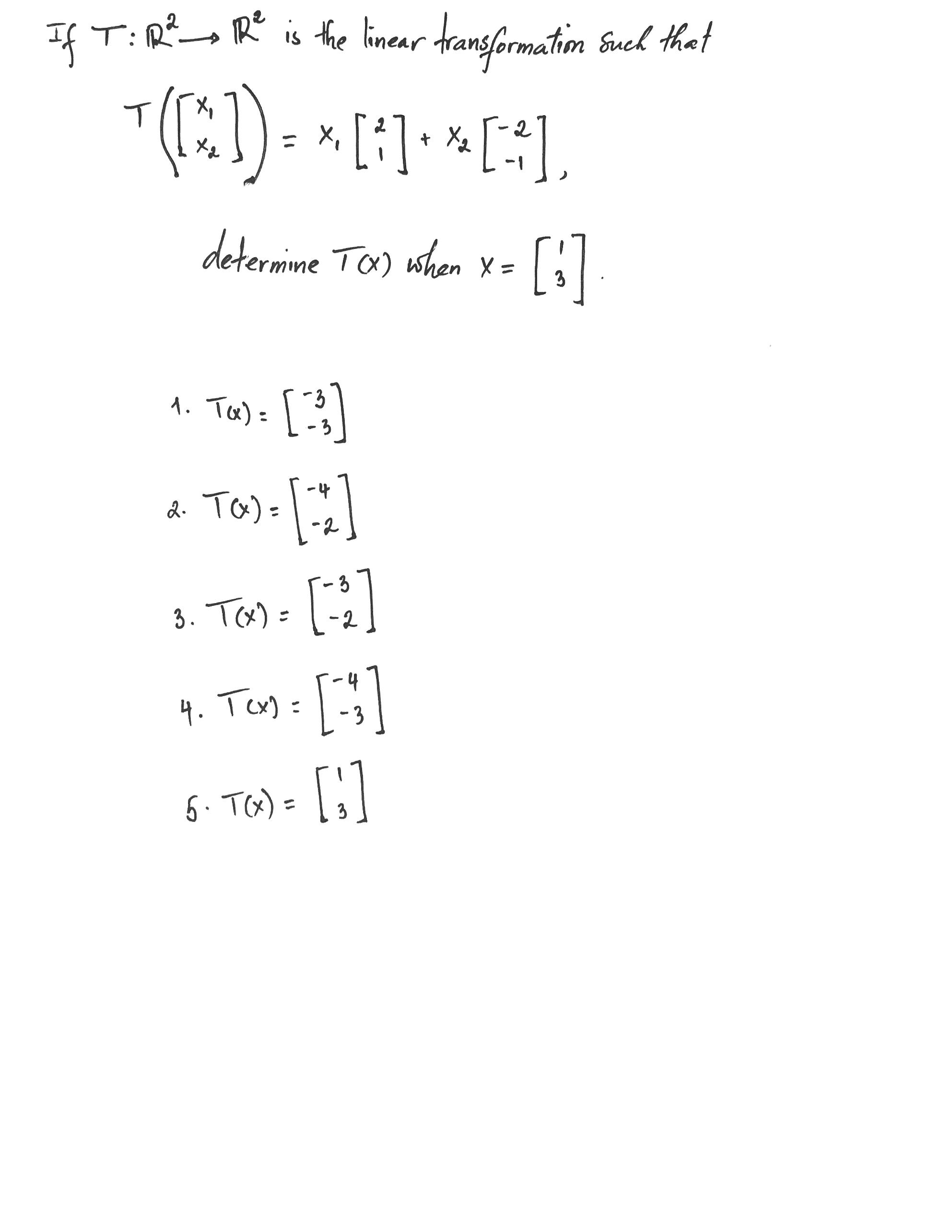
Question: If T:R R is the linear transformatiom Such that (:1) - * [:]

If T:R R is the linear transformatiom Such that (:1) - * [:]
Step by Step Solution
3.37 Rating (150 Votes )
There are 3 Steps involved in it
To find Tmathbfx when mathbfx beginbmatrix 1 3 endbmatrix we need to use the given li... View full answer
Get step-by-step solutions from verified subject matter experts
