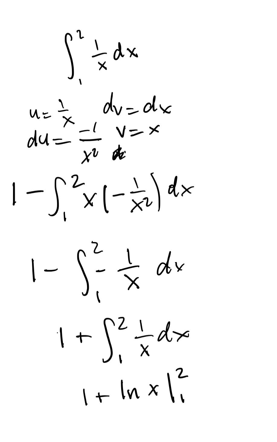
Question: If we had the problem, 1 2 x 1 d x , and we had to use integration by parts. What would be the way
If we had the problem, 12x1dx, and we had to use integration by parts. What would be the way to get the answer of ln2. I understand that we don't need to use integration by parts but I am trying to find the integral and I keep coming up with1+ln2 while using integration by parts.

2 X dx 1 adv = olx du = Vz X 1 - - S'x( - i ) dx 1 - 1 2 f dx 2 (+ Inx)
Step by Step Solution
There are 3 Steps involved in it
Get step-by-step solutions from verified subject matter experts
