Question: If you could just answer e) and f) from the second photo. Need it done in 30min thanks! f2 Answer each of the following questions


If you could just answer e) and f) from the second photo. Need it done in 30min thanks!


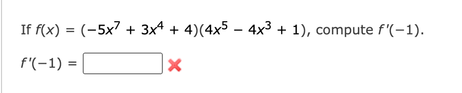
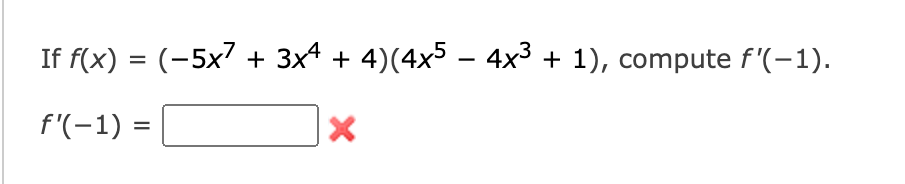
\f2 Answer each of the following questions about f(x). You have one submission for each question. (a) Does lim f(x) exist? x- 1 OYes ONo (b) Is f(x) continuous at x = 1? OYes ONo (c) Is f(x) differentiable at x = 1? OYes ONo (d) Does lim f(x) exist? OYes ONO (e) Is f(x) continuous at x = 2? OYes ONO (f) Is f(x) differentiable at x = 2? OYes ONo
Step by Step Solution
There are 3 Steps involved in it
1 Expert Approved Answer
Step: 1 Unlock
Question Has Been Solved by an Expert!
Get step-by-step solutions from verified subject matter experts
Step: 2 Unlock
Step: 3 Unlock
